病原体特异性M型免疫球蛋白定性检测试剂注册审查指导原则(2023年修订版)
本指导原则旨在指导注册申请人对病原体特异性M型免疫球蛋白(Immunoglobulin M,IgM)定性检测试剂注册申报资料的准备及撰写,同时也为技术审评部门对注册申报资料的技术审评提供参考。
本指导原则是对病原体特异性IgM抗体定性检测试剂的一般要求,申请人应依据产品的具体特性确定其中内容是否适用,若不适用,需具体阐述理由及相应的科学依据,并依据产品的具体特性对注册申报资料的内容进行充实和细化。
本指导原则是对申请人和审查人员的指导性文件,但不包括注册审批所涉及的行政事项,亦不作为法规强制执行,如果有能够满足相关法规要求的其他方法,也可以采用,但需要提供详细的研究资料和验证资料,相关人员应在遵循相关法规的前提下使用本指导原则。
本指导原则是在现行法规和标准体系以及当前认知水平下制定的,随着法规和标准的不断完善,以及科学技术的不断发展,本指导原则相关内容也将适时进行调整。
一、适用范围
在病原体感染的初次体液免疫应答中(原发性感染),特异性IgM抗体首先出现,但其普遍反应短暂,一般几周后即不易再测到。病原体特异性IgM抗体阳性常提示早期感染,可用于感染急性期的辅助判断。人血液样本中病原体特异性IgM抗体的定性检测,对某些传染病如甲型肝炎、乙型肝炎、弓形虫、风疹病毒、巨细胞病毒及单纯疱疹病毒(TORCH)类病原体感染等有较高的临床参考价值。
病原体特异性IgM抗体定性检测试剂是指利用酶联免疫吸附法、化学发光法等基于抗原抗体反应原理,以特定病原体的特异性IgM抗体为检测目标,对人血清或血浆等样本中病原体特异性IgM抗体进行体外定性检测的试剂。本指导原则适用于进行注册申请和变更注册的情形。
二、注册审查要点
(一)监管信息
1.产品名称及分类编码
产品名称应符合《体外诊断试剂注册与备案管理办法》及相关法规的要求,如甲型肝炎病毒IgM抗体检测试剂盒(化学发光法)。根据《体外诊断试剂分类规则》,该产品按照第三类体外诊断试剂管理,分类编码为6840。
2.其他信息还包括产品列表、关联文件、申报前与监管机构的联系情况和沟通记录以及符合性声明等文件。
(二)综述资料
综述资料主要包括产品临床适用证背景情况、预期用途、产品描述、有关生物安全性的说明、研究结果的总结评价以及同类产品上市情况介绍等内容,其中同类产品上市情况介绍部分应着重从方法学及临床适用范围等方面写明拟申报产品与目前市场上已获批准的同类产品之间的主要区别。
建议申请人对以下几方面内容进行着重介绍:
1.特定病原体的生物学特性、结构与功能、感染过程、潜伏期、特异性IgM抗体产生及可持续存在时间、病理背景等。
2.特定病原体感染相关的疾病情况、流行病学以及易患(高危)人群的说明。
3.对申报试剂检测结果可能带来的风险进行合理评估,即由申报试剂的假阳性/假阴性结果导致的对患者临床诊治、孕妇或胎儿的不恰当处理、疫苗接种、流行病学等方面的负面影响。
4.申报产品的研发历程。
(三)非临床资料
1.产品技术要求及检验报告
注册申请人应当在原材料质量和生产工艺稳定的前提下,根据产品研制、前期评价等结果,依据国家标准、行业标准及有关文献资料,结合产品特性按照《医疗器械产品技术要求编写指导原则》的要求编写。该类产品作为第三类体外诊断试剂,应当以附录形式明确主要原材料以及生产工艺要求。
病原体特异性IgM抗体检测试剂的注册检测应主要包括以下性能指标:物理性状、阳性参考品符合率、阴性参考品符合率、精密度、最低检测限(分析灵敏度)等。
如有适用的国家标准、行业标准,产品技术要求的相关要求应不低于相应的要求。
如该项目已有国家标准品,产品技术要求中应体现国家标准品的相关要求,并使用国家标准品对三批产品进行检验。
2.分析性能研究
申请人应提交在符合质量管理体系的生产环境下生产的试剂进行的所有性能评估资料,包括具体研究方法、试验方案、试验数据、统计分析等详细资料。有关分析性能评估的背景信息也应在申报资料中进行描述,包括试验地点,采用的试剂名称、规格和批号,仪器名称和型号,样本类型和来源等。分析性能评估的试验方法可以参考国际或国内有关体外诊断试剂性能评估的指导原则进行,建议着重对以下分析性能进行研究。
2.1样本稳定性
样本稳定性一般包括样本各种实际运输及储存(常温、冷藏和冷冻)条件下的保存期限验证,以确认样本的保存条件及效期(短期、长期)。需要冷冻保存的样本同时应对冻融次数进行合理验证。某些用于防腐、冷冻用途或起稳定保护作用的添加剂可能会对检测造成影响,如涉及,请对该添加剂的影响进行合理验证。若要用于加热样本(如热灭活)的检测,则应对加热前后的病原体特异性IgM抗体阳性及阴性样本进行加热因素的干扰验证。
2.2适用的样本类型
如产品适用于血清和血浆,可采用同源比对验证样本的可比性。方法为对不少于50例源自同一患者的病原体特异性IgM抗体阴性、弱阳性(略高于临界值)的血清和血浆样本进行检测以验证申报试剂对于血清和血浆样本的检测结果的一致性。如产品适用于静脉全血,建议进行最低检测限和精密度研究,同时进行同源比对试验。
2.3企业参考品检验
根据主要原材料研究资料中的企业参考品设置情况,采用至少三批产品对企业参考品进行检验并提供详细的试验数据。
2.4最低检测限
选取特定浓度/滴度的病原体特异性IgM抗体样本,做系列稀释,将检测结果的阳性率不低于95%(n≥20)的最大稀释倍数作为试剂盒的最低检测限。选择与确定样本不同的多份样本,采用阴性样本稀释到最低检测限浓度水平进行验证,应不低于95%阳性检出率。
2.5分析特异性
2.5.1交叉反应
用于病原体特异性IgM抗体检测试剂交叉反应验证主要考虑以下几方面:
2.5.1.1对抗原结构相近或临床症状相似的其他病原体高水平IgM抗体进行交叉反应研究,如乙型肝炎病毒核心抗体(HBc)IgM、甲型肝炎病毒(HAV)IgM、弓形虫、风疹病毒、单纯疱疹病毒以及巨细胞病毒IgM抗体等。
2.5.1.2高浓度病原体特异性IgG抗体与特异性IgM抗体的交叉反应验证。
2.5.1.3如果试剂原料采用基因重组抗原,则还需考虑对重组基因导入微生物特异性抗体的交叉反应评价。
申请人应提交所有用于交叉反应验证的样本来源、浓度或滴度确认等信息。
2.5.2干扰物质
应根据所采集样本类型,选择适用的干扰物质进行研究。建议在每种干扰物质的潜在最大浓度下,采用病原体特异性IgM抗体阴性、弱阳性(略高于临界值)的临床或模拟添加样本分别进行干扰试验验证。应说明样本的制备方法及干扰试验的评价标准。
2.5.2.1内源性干扰
对样本中常见的内源性干扰物质进行检测,如溶血、高脂、黄疸、类风湿因子(RF)、抗核抗体(ANA)、抗线粒体抗体(AMA)、高浓度非特异性IgG和IgM抗体等进行干扰研究。
2.5.2.2常见治疗性药物
对不同种类的抗菌药物、干扰素、常见的抗病毒药物、症状相关其他经验性药物等进行干扰研究。
2.5.2.3抗凝剂的干扰
如果试剂盒适用样本类型包括血浆和/或静脉全血样本,应采用各种适用抗凝剂抗凝的血浆和/或静脉全血样本分别与血清样本进行对比试验研究。
2.5.2.4对至少5份含有病原体特异性IgM抗体的样本进行IgM破坏试验研究,方法为采用特定的化学制剂(如2-巯基乙醇或二硫苏糖醇)处理样本后,重新进行检测,IgM检测结果应为阴性。
2.6精密度
申请人应对每项精密度指标的评价标准做出合理要求,如标准差或变异系数的范围等,针对本类产品的精密度评价主要包括以下要求。
2.6.1对可能影响检测精密度的主要变量进行验证,除申报试剂本身外,还应对运行、时间、操作者、仪器、试剂批次和地点等影响检测精密度的主要变量进行相关的验证。
2.6.2设定合理的精密度评价周期。
2.6.3用于精密度评价的临床样本应至少包括三个水平:
2.6.3.1阴性样本:待测物浓度为零,阴性符合率应为100%(n≥20)。
2.6.3.2弱阳性样本:待测物浓度略高于试剂的最低检测限,阳性符合率应不低于95%(n≥20)。
2.6.3.3中/强阳性样本:待测物浓度呈中到强阳性,阳性符合率为100%,且CV≤15%(n≥20)(如适用)。
2.7钩状(HOOK)效应(如适用)
须采用高滴度的病原体特异性IgM抗体的样本进行梯度稀释后由低浓度至高浓度开始检测,每个梯度的稀释液重复3~5份,对钩状效应进行合理的验证。
2.8包容性
应选择来源于不同时间、不同地域的多份临床确诊且经合理方法确定的病原体特异性IgM抗体弱阳性的患者样本进行研究。
2.9其他需注意问题
对于使用仪器进行结果判读的产品,应提供产品说明书【适用机型】项中所有型号仪器的性能评估资料。
2.10反应体系
2.10.1反应条件确定
申请人应考虑反应时间、反应温度、洗涤次数(如涉及)等条件对产品性能的影响,通过试验确定上述条件的最佳组合。
2.10.2反应体系中样品加样方式及加样量确定
申请人应考虑样品加样方式、加样量对产品检测结果的影响,通过试验确定最佳的加样方式及加样量。如样本需采取稀释或其他必要的方法进行处理后方可用于最终检测,申请人还应对可用于样本稀释的基质或处理方法进行研究,通过试验确定最终选择的用于样本稀释的基质或处理方法。
采用间接法的试剂,建议考虑高浓度特异性IgG对结果的影响,合理设置IgG去除相关样本处理步骤(例如采用含有IgG吸附剂的样本稀释液等),或者详述产品设计中关于避免IgG影响IgM检测结果的合理措施,尽量减少特异性IgG对IgM检测造成的假阴性和假阳性。对至少10份临界值附近的病原体特异性IgM抗体弱阳性并含有多水平病原体特异性IgG抗体的样本进行检测,比较去除总IgG前后的结果,验证IgG吸附剂消除干扰的效果,以上试验可以采用人工制备的样本进行。
3.稳定性研究
稳定性研究主要包括实时稳定性、使用稳定性及运输稳定性等研究,申请人可根据实际需要选择合理的稳定性研究方案。稳定性研究资料应包括研究方法的确定依据、具体的实施方案、详细的研究数据以及结论。对于实时稳定性研究,应提供至少三批样品在实际储存条件下保存至成品有效期后的研究资料。
4.阳性判断值研究
应提交对申报试剂阴性/灰区/阳性等结果判断的阳性判断值确定的试验研究资料,应包括具体的试验方案、评价标准、统计学分析、研究数据等研究资料。如适用,建议采用受试者工作特征曲线(ROC)的分析方式来选择确定合理的阳性判断值,如试验结果分析存在灰区,则应明确灰区建立的基础。建立阳性判断值的样本来源选择应考虑到地域性、年龄、不同生理状态等因素的影响,并明确阳性判断值在不同的样本类型是否有差异。应搜集采用分布均匀的真实样本对所确定的阳性判断值进行验证。注意,阳性判断值的验证样本不应与阳性判断值的确定样本以及临床试验样本重复。
5.其他资料
5.1主要原材料研究资料
5.1.1试剂盒所用病原体抗原
应注重抗原表位的选择,原材料研究资料中应将此方面的考虑进行详述。详细描述抗原的名称,天然/重组表达信息及选择该抗原的依据。提交抗原来源、供应商选择、制备、纯化、鉴定、质量标准(外观、蛋白浓度、纯度、分子量、功能性试验等)及检验等详细试验资料。
(1)企业自制抗原
如为天然抗原,则应对病原体毒株选择、病原体培养、抗原提取及纯化、鉴定等试验过程予以详述;如为重组抗原,则应提交有关特定基因选择、基因序列、基因克隆、抗原表达及抗原纯化鉴定等详细内容,并对基因克隆的整个过程进行详述,如特定脱氧核糖核酸(DNA)分子的体外处理、重组连接、导入宿主细胞、宿主细胞繁殖以及重组子表达等试验过程。
(2)企业外购抗原,则应详述抗原的名称及生物学来源,供应商名称,提交供应商出具的抗原性能指标及检验证书,详述申请人对该抗原技术指标的要求以及申请人确定该抗原作为主要原材料的依据。供应商应相对固定,不得随意更换。
5.1.2试剂盒所用病原体抗体
详述抗体的选择过程,提交抗体生物学来源、免疫原及质量标准(外观、蛋白浓度、纯度、分子量、效价、功能性试验等)等详细试验资料。
(1)企业自制抗体
如使用天然抗原作为免疫原则应明确该天然抗原的来源;如使用重组抗原或其他人工合成抗原作为免疫原,应提供相应的核酸组分及重组抗原的序列信息。申请人对所选抗体的技术指标要求,确定该抗体作为主要原材料的依据。
(2)企业外购抗体
应详述抗体的名称及生物学来源,供应商名称,提交供应商出具的抗体性能指标及检验证书,详述申请人对该抗体技术指标的要求以及申请人确定该抗体作为主要原材料的依据。供应商应相对固定,不得随意更换。
5.1.3其他主要原材料
除上述主要原材料外,产品中包含的其他原材料,如固相载体、硝酸纤维素膜、反应缓冲液等,该类原材料一般均为外购,应详述每一原材料的供应商名称,提交供应商出具的每一原材料性能指标及检验证书,详述申请人对每一原材料技术指标的要求以及申请人确定该原材料作为主要原材料的依据。免疫层析方法学的产品如适用于全血,应介绍血细胞去除方式及相关原材料,并验证去除效果。
5.1.4企业参考品
应提供企业参考品的原料选择、制备、阴阳性及浓度/滴度确认等相关的验证资料,提供对参考品性质确认的方法或试剂(建议采用国内已上市的、临床上普遍认为质量较好的同类试剂)的相关信息。
如申报产品有相应的国家参考品,则企业参考品应参考国家参考品的项目设置。在不低于国家参考品要求的前提下,申请人可以结合实际情况设置合理的企业参考品。对于没有国家参考品的产品,申请人应根据产品性能验证的实际情况自行设定企业参考品,阳性参考品应着重考虑抗体滴度要求,阴性参考品则主要涉及对分析特异性(交叉反应)的验证情况。
5.2生产工艺研究资料
5.2.1主要生产工艺介绍,可用流程图方式表示,并简要说明主要生产工艺的确定依据。
5.2.2产品基本反应原理介绍。
5.2.3包被工艺研究,申请人应考虑如包被液量、浓度、时间等指标对产品性能的影响,通过试验确定上述指标的最佳组合。
5.2.4显色(发光)系统、酶作用底物等的介绍及最适条件研究。
(四)临床试验资料
临床试验的开展、方案的制定以及报告的撰写等均应符合相关法规及《体外诊断试剂临床试验技术指导原则》的要求,如相关法规、文件有更新,临床试验应符合更新后的要求。
1.临床试验方法
1.1对于有已上市同类产品的试验体外诊断试剂,采用试验体外诊断试剂与已上市同类产品(对比试剂)进行比较研究,评价两种方法检测结果的一致性,评价指标通常包括阳性符合率、阴性符合率等。对比试剂在预期用途、适用人群、样本类型、检测方法学、检测性能等方面应与试验体外诊断试剂具有较好的可比性。
1.2对于尚无已上市同类产品的试验体外诊断试剂,应结合临床指南等资料,明确IgM检测的临床意义。根据临床意义,申请人可选择病原体急性感染检测的临床参考标准并结合临床诊断进行比较研究。如病原体分离培养鉴定。如果病原体分离培养鉴定的方法不可行也可以采用其他用于感染急性期判断的方法进行比对研究,例如:病原体IgG抗体的血清学转换(动态监测2份或以上的血清IgG,恢复期与急性期比较IgG呈4倍以上升高)、病原体核酸检测或直接抗原检测等方法。对于病原体感染急性期的判断应按照临床指南等资料的描述确定。
还应纳入一定量的连续样本,观察其转归情况。
针对不一致的样本,建议进一步随访其IgM的检测情况并确认病例的感染状态,综合临床其他因素进行分析。
2.受试者选择及样本收集
2.1受试者选择
临床试验方案中应根据试验用体外诊断试剂的预期用途、目标人群和检测要求等合理确定临床试验受试者的选择要求和样本收集方法,包括:受试者入组/排除标准等。
根据产品临床验证的目的,入组人群应选择具有特定病原体感染症状/体征、相似症状或有密切接触史等疑似特定病原体感染人群作为研究对象。还应纳入靶病原体之外的其他感染症状相似的、易混淆的病原体感染的患者样本,以从临床角度考察其特异性。
2.2样本类型
病原体特异性IgM抗体检测试剂适用的样本类型一般包括血清、血浆、静脉全血。如申报产品所适用的样本类型同时包含血清、血浆,且临床前研究证实检测性能没有差异(如血清、血浆),则临床试验中可汇总统计。
对于静脉全血样本类型,建议进行同源比对。
3.临床试验机构数量和要求
应选择不少于3家(含3家)已备案的临床试验机构,按照相关法规、指导原则的要求开展临床试验。申办者应根据产品特点及其预期用途,综合不同地区病原体流行情况等因素选择具有代表性的机构开展临床试验,包括受试人群的代表性等。
4.临床评价指标
该类产品临床评价指标主要包括试验用体外诊断试剂与已上市同类产品相比的阳性符合率、阴性符合率等。如试验用体外诊断试剂与临床参考方法进行对比研究,其临床评价标准应包括临床灵敏度、临床特异度等。
5.临床试验样本量估算
临床试验样本量应满足统计学要求,可采用适当的统计学方法进行估算,同时应满足法规最低样本量的要求。
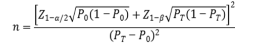
临床试验采用申报产品与已上市同类产品进行比对的试验设计,临床样本量的估算建议采用单组目标值法进行计算,阴阳性符合率的临床可接受标准(P0)建议不低于90%。当评价指标P接近100%时,该样本量估算方法可能不适用,应考虑选择更加适宜的方法进行样本量估算和统计学分析,如精确概率法等。

公式中,n为样本量;Z1-α/2、Z1-β为显著性水平和把握度的标准正态分布的分数位,P0为评价指标的临床可接受标准,PT为试验体外诊断试剂评价指标预期值。
对于无已上市产品的新的试验体外诊断试剂,灵敏度特异性的临床可接受标准应参照相关文献及前期研究结果设定合理的指标。
临床试验总体样本量确定时应在上述阴、阳性样本最低样本量估算的基础上,同时考虑其他可能造成受试者脱落的情况以及可能需要纳入的干扰样本、交叉反应样本等情况适当增加入组样本量。
6.统计分析
临床试验统计分析,应与临床试验目的一致,如临床试验目的为验证申报产品与已上市产品的一致性,统计分析一般以2×2四格表的形式总结两种分析方法的检测结果,并据此计算阳性符合率、阴性符合率、总符合率、Kappa值等指标及其95%置信区间。
对于采取与临床参考标准比较的临床试验,考虑到对不同样本类型以及不同人群的检测结果可能存在一定差异,故建议根据产品特点,对不同样本类型及不同人群分别进行统计分析,以对考核试剂的临床性能进行综合分析。
7.伦理学要求
临床试验必须符合赫尔辛基宣言的伦理学准则,必须获得临床试验机构伦理委员会的同意。研究者应充分考虑临床试验用样本的获得和试验结果对受试者的风险性,应提交伦理委员会的审查意见。
8.质量控制
临床试验开始前,建议进行临床试验的预试验,以熟悉并掌握相关试验方法的操作、仪器、技术性能等,最大限度控制试验误差。整个试验过程都应处于有效的质量控制下,最大限度保证试验数据的准确性及可重复性。
9.临床试验报告和小结撰写
临床试验报告和小结的撰写应参考《体外诊断试剂临床试验技术指导原则》的相关要求,应该对试验的整体设计及各个关键点给予清晰、完整的阐述,应该对整个临床试验实施过程、结果分析、结论等进行条理分明的描述,并应包括必要的基础数据和统计分析方法,最后得出临床试验结论。
(五)产品说明书和标签样稿
产品说明书是体外诊断试剂注册申报最重要的文件之一。产品说明书的格式应符合《体外诊断试剂说明书编写指导原则》的要求,进口体外诊断试剂的中文说明书除格式要求外,其内容应尽量保持与原文说明书的一致性,翻译力求准确且符合中文表达习惯。产品说明书的所有内容均应与申请人提交的注册申报资料中的相关研究结果保持一致,如某些内容引用自参考文献,则应以规范格式对此内容进行标注,并单独注明文献的相关信息。
结合《体外诊断试剂说明书编写指导原则》的要求,病原体特异性IgM抗体定性检测试剂说明书编写应重点关注以下内容。
1.【预期用途】应至少包括以下几部分内容:
1.1试剂盒用于体外定性检测人血清和/或血浆和/或静脉全血样本中xx的特异性IgM抗体。用于xx感染的辅助诊断。
1.2简单介绍待测目标的特征,如特定病原体的生物学性状、潜伏期、易感人群、感染后的临床表现等临床背景相关的信息介绍;适用于对哪些患者人群的检测,如具有何种症状/体征的患者、相关的密切接触者、地域要求或年龄限制(如有)等。
1.3病原体特异性IgM抗体的产生、持续时间、与特异性IgG、病原体核酸等其他检测指标的关联;
1.4与靶抗体检测相关的其他临床或实验室诊断方法。
2.【主要组成成分】
2.1说明试剂盒包含组分的名称、数量、比例或浓度等信息,阴性/阳性对照品可能含有人源组分,应提供其生物学来源。
2.2对检测中使用的抗原及抗体的信息进行简单介绍。
2.3试剂盒中不包含但对该项检测必须的组分,企业应列出相关试剂/耗材的名称、注册证号/备案号(如有)、货号及其他相关信息。
3.【储存条件及有效期】
对试剂盒的效期稳定性、开封稳定性等信息做详细介绍。
胶体金试纸条产品应对开封后未使用产品允许暴露于空气中的温度、湿度及期限等条件予以明确。
4.【样本要求】 重点明确以下内容:
4.1样本采集前对患者的要求:如采集时间、采集顺序等,是否受临床症状、用药情况等因素的影响。
4.2样本采集:说明采集方法及样本类型,如有血浆样本,应注明对抗凝剂的要求。
4.3样本处理及保存:样本处理方法、保存条件及期限(短期、长期)、运输条件等。冷藏/冷冻样本检测前是否须恢复室温,冻融次数。经热处理样本是否可用、对储存样本的添加剂要求等。
4.4如果检测系统含有某种IgG抗体的去除技术(IgG吸附剂),如抗人IgG抗体等,则应包括IgG吸附剂使用相关的注意事项。例如:经IgG吸附剂处理的样本不能用于 IgG类抗体的检测;在检测IgM类抗体的同时,检测处理过的混合物中的IgG类抗体,以证实对IgG、类风湿因子(RF)等去除的有效性等。
5.【检验方法】 详细说明试验操作的各个步骤:
5.1试验环境:温、湿度条件,检测试剂及样本的复温要求及相关注意事项。例如:冻存样本在复融后应经过充分的混匀再行检测。
5.2试剂配制方法、注意事项,试剂开封后使用方法及注意事项等。
5.3试验条件:操作步骤、温度、时间、仪器波长等以及试验过程中的注意事项。不同型号产品,加样方法如有差异,建议分别以图示方式描述清楚。
6.【检验结果的解释】
结果判断或计算:详细描述对检测结果的判定或计算方法、对质控品(对照品)的检测结果要求(试验有效性的判断)等。如果质控品和病人样本的使用方法不同,生产商应注明必要的指导和解释。建议在质控品(对照品)结果解释环节注明以下字样:“如果质控结果与预期不符,实验室不应出具检测报告。”
7.【检验方法局限性】
综合产品的预期用途、临床背景、检测方法及适用范围等信息,对可能出现的局限性进行相关说明,主要包括以下描述,请申请人选择适用的条款在产品说明书中予以阐述。
7.1本产品检测结果仅供临床参考,不应作为临床诊治的唯一依据,对患者的临床管理应结合其症状/体征、病史、其他实验室检查(尤其是病原学检测)、治疗反应及流行病学等信息综合考虑。
7.2感染初期,病原体特异性IgM抗体未产生或滴度很低会导致阴性结果,如怀疑有病原体感染,应提示患者在7-14天内复查,抽取第二份样本,并和第一份样本在同条件下同时检测,以确定是否有初次感染的血清转化或病原体特异IgM或IgG抗体滴度明显升高。
7.3高滴度病原体特异性IgG抗体会与特异性IgM抗体竞争抗原结合部位,会使检测的敏感性降低,IgM结果可能会出现假性低值或阴性结果。尤其是怀疑先天性病原体感染的新生儿样本,他们的血清中可能含有母亲来源的高水平病原体特异的IgG抗体和胎儿产生的相对低水平的病原体特异IgM抗体,因此,对于该类样本的阴性结果应慎重分析。
7.4由于脐带血中可能含有源于母体的病原体特异性IgM抗体(胎盘渗漏),因此,最好在出生后5天内再对婴儿的后续样本进行检测,以证实脐带血样本病原体特异性IgM抗体的阳性结果。建议将新生儿与母亲的血清样本平行进行测试,如果是胎儿的先天性感染,其IgM抗体水平(以及IgG抗体水平) 会持续存在或呈上升趋势, 反之,如果抗体来源于母体,则在在平行试验中婴儿的抗体水平会逐渐下降或消失。
7.5由于孕妇的实验室检查不能可靠地鉴定胎儿患病的风险,故不建议采用本试剂对无症状的母体感染进行筛查,不得将本试剂的检测结果单独作为终止妊娠的依据。
7.6免疫功能受损或接受免疫抑制治疗的患者,如人类免疫缺陷病毒(HIV)感染患者或器官移植后接受免疫抑制治疗的患者,其血清学IgM抗体检测的参考价值有限,可能会导致错误的医学解释。
7.7在近几个月内接受过输血或其他血液制品治疗的人群,对其阳性检测结果的分析应慎重。
7.8病原体特异性IgM抗体不仅出现于初次感染,当二次感染和复发感染时也可能出现。
7.9当疾病的流行程度降低时阳性预测值降低,对低危人群阳性结果的解释应当谨慎。建议对申报试剂临床研究中的病例人群特征进行说明,并对适用人群的性别、年龄、地域等特征进行明示。
8.【产品性能指标】 详述以下性能指标:
8.1最低检测限:说明试剂的最低检测限,简单介绍最低检测限的确定方法。
8.2企业阳性/阴性参考品符合率。
8.3精密度:精密度参考品的组分、浓度及评价标准。
8.4分析特异性
8.4.1交叉反应:对易产生交叉反应的其他病原体的高水平IgM抗体、特异性IgG抗体等的验证情况。
8.4.2干扰物质:样本中常见干扰物质对检测结果的影响,如溶血、高脂、黄疸等干扰因子研究(结果应量化表示,禁用轻度、严重等模糊表述),有关高浓度总IgM和IgG抗体、自身抗体、类风湿因子(RF)、嗜异型性抗体等的干扰验证。
8.4.3药物影响:较常见的用于病原体感染治疗的外用或内服药物对检测结果的影响。
8.5钩状(HOOK)效应(如适用):对高浓度特异性IgM抗体的钩状效应验证情况。
8.6对比试验研究(如有):简要介绍对比试剂(方法)的信息、所采用的统计学方法及统计分析结果。
8.7临床性能。
9.【注意事项】应至少包括以下内容:
9.1有关试剂盒内人源组分(如有)生物安全性的警告。
9.2有关试验操作、样本保存及处理等其他注意事项。



















18576401396 





