丙型肝炎病毒抗体检测试剂注册审查指导原则
本指导原则旨在指导注册申请人对丙型肝炎病毒抗体检测试剂注册申报资料的准备及撰写,同时也为技术审评部门提供参考。
本指导原则是对丙型肝炎病毒抗体检测试剂的一般要求,注册申请人应依据产品的具体特性确定其中内容是否适用。若不适用,需具体阐述理由及相应的科学依据,并依据产品的具体特性对注册申报资料的内容进行充实和细化。
本指导原则是对注册申请人和审查人员的指导性文件,但不包括注册审批所涉及的行政事项,亦不作为法规强制执行,如果有能够满足相关法规要求的其他方法,也可以采用,但需要提供详细的研究资料和验证资料,相关人员应在遵循相关法规的前提下使用本指导原则。
本指导原则是在现行法规和标准体系以及当前认知水平下制定的,随着法规和标准的不断完善,以及科学技术的不断发展,本指导原则相关内容也将适时进行调整。
一、适用范围
本指导原则适用于以抗原抗体反应为原理,包括免疫层析法、酶联免疫法或化学发光法等,体外定性检测人体样本(如血清、血浆、静脉全血)中的丙型肝炎病毒抗体的试剂。结合临床和其他实验室指标,可用于丙型肝炎病毒感染的辅助诊断。本指导原则适用于注册申请和变更注册申请的情形。本指导原则仅针对注册申报资料中的部分内容进行撰写,其他未尽事宜应当符合《关于公布体外诊断试剂注册申报资料要求和批准证明文件格式的公告》等相关法规要求。
二、注册申报资料要求
(一)监管信息
1.产品名称及分类编码
产品名称应符合《体外诊断试剂注册与备案管理办法》及相关法规的要求,如丙型肝炎病毒抗体检测试剂盒(化学发光法)。根据《体外诊断试剂分类规则》,该产品按照第三类体外诊断试剂管理,分类编码为6840。
2.其他信息还包括产品列表、关联文件、申报前与监管机构的联系情况和沟通记录以及符合性声明等文件。
(二)综述资料
综述资料主要包括产品描述、预期用途、主要研究结果的总结评价、有关生物安全性的说明、研发历程以及同类产品上市情况介绍等内容。产品描述中应说明产品所采用的技术原理和特点。同类产品上市情况介绍部分应着重从方法学、检测原理、特异性抗原等主要组成成分、样本类型等方面写明拟申报产品与目前市场上已获批准的同类产品之间的主要区别。
(三)非临床资料
1.产品技术要求及检验报告
注册申请人应当在原材料质量和生产工艺稳定的前提下,根据产品研制、前期评价等结果,依据国家标准、行业标准及有关文献资料,结合产品特性按照《医疗器械产品技术要求编写指导原则》的要求编写。该类产品作为第三类体外诊断试剂,应当以附录形式明确主要原材料以及生产工艺要求。
如有适用的国家标准、行业标准,产品技术要求的相关要求应不低于相应的要求。
如该项目已有国家标准品,技术要求中应体现国家标准品的相关要求,并使用国家标准品对三批产品进行检验。
2.分析性能研究
注册申请人应提交在符合质量管理体系的生产环境下生产的试剂进行的所有性能评估资料,包括具体研究方法、实验方案、实验数据、统计分析等详细资料。有关分析性能评估的背景信息也应在申报资料中进行描述,包括实验地点、采用的试剂名称、规格和批号、仪器名称和型号、样本类型和来源等。分析性能评估的研究方法可以参考国际或国内有关体外诊断试剂性能评估的指导原则进行,建议着重对以下分析性能进行研究。
2.1样本稳定性
样本稳定性一般包括样本各种实际运输及储存(常温、冷藏和冷冻)条件下的保存期限验证,以确认样本的保存条件及保存时间。可以在合理的温度范围内,每间隔一定的时间段即对储存样本进行验证,从而确认不同类型样本的稳定性。可冷冻保存的样本还应对冻融次数进行合理验证。
2.2适用的样本类型
如产品同时适用于血清和血浆,可采用同源比对方式验证样本的可比性。如适用于静脉全血样本,可采用同源比对方式验证样本的可比性,并至少进行最低检出限和重复性的研究。
2.3企业参考品检验
采用至少三批产品对企业参考品进行检验并提供详细的实验数据。
2.4精密度
应对精密度指标,如标准差或变异系数等的评价标准做出合理要求。应考虑运行、时间、操作者、仪器、试剂批次和地点等影响精密度的条件,设计合理的精密度试验方案进行评价。
设定合理的精密度评价周期,例如:为期至少20天的检测。至少采用3个水平的真实样本进行精密度评价。具体要求如下:
2.4.1阴性样本:待测物浓度低于最低检测限或为零浓度,阴性符合率应为100%(n≥20)。
2.4.2临界阳性样本:待测物浓度略高于试剂的最低检测限,阳性检出率应大于95%(n≥20)。
2.4.3中/强阳性样本:待测物浓度呈中度到强阳性,阳性检出率为100%,变异系数(CV)应在合理的可接受范围内(n≥20),或条带结果显色均一。
2.5包容性
应选择不同来源的多份临床确诊为丙型肝炎病毒抗体阳性的患者样本或商业化血清盘进行验证,建议至少覆盖1a、1b、2a、3a、3b、4型、5型、6型等基因型,验证内容应包括重复性、检出限等,提供样本及浓度的确认方法、试验数据。
2.6检出限
建议采用已明确丙型肝炎病毒抗体滴度的临床阳性样本,采用阴性样本进行系列稀释,进行最低检测限的建立和验证。应采用合理方法确认抗体类型和滴度,提供详细的确认方法及结果。
2.6.1最低检测限的确定
建议选取不同来源的至少3份真实样本,系列稀释获得多个浓度梯度,每个浓度重复检测不少于3次,以100%可检出的最低浓度水平作为预设检测限。在此浓度附近制备若干浓度梯度样品,每个浓度至少重复检测20次,将具有95%及以上阳性检出率的最低浓度作为最低检测限。
2.6.2最低检测限的验证
选择与确定样本不同的3份真实样本,采用阴性样本稀释到最低检测限浓度水平,重复检测多次进行验证,应达到95%及以上阳性检出率。
应同时使用经验证的血清盘,进行检出限的验证研究。
2.7分析特异性
2.7.1交叉反应
应对丙型肝炎病毒的近缘微生物抗体,易引起相同或相似的临床症状、及易合并感染的微生物抗体进行交叉反应验证。如人类EB病毒(EBV)、巨细胞病毒(CMV)、人类免疫缺陷病毒(HIV)、甲型肝炎病毒(HAV)、乙型肝炎病毒(表面抗原/抗体、e抗原/抗体、核心抗体)、戊型肝炎病毒(HEV)、轮状病毒(RV)、单纯疱疹病毒(HSV-Ⅰ、HSV-Ⅱ)等。
交叉反应用临床样本中相关病原体抗体滴度水平应较高,并且抗体类型应与被测抗体类型一致,对于检测丙型肝炎病毒总抗体的试剂来说交叉抗体类型应尽量覆盖IgM、IgG。应提供所有用于交叉反应验证的样本来源、阴阳性和滴度确认等信息。
2.7.2干扰试验
应根据所采集样本类型,选择适用的干扰物质进行研究。建议在每种干扰物质的潜在最大浓度(“最差条件”)下,采用待测抗体为弱阳性和阴性水平的多例样本进行试验,应至少包括下列可能的干扰物质。
2.7.2.1内源性干扰物质:血红蛋白、胆红素、脂类、类风湿因子、其他自身免疫性抗体(如抗ANA等)、异嗜性抗体(如HAMA)、总IgG、总IgM。
2.7.2.2常见治疗性药物:不同种类的抗菌药物、干扰素、常见的抗病毒药物、直接抗病毒药物(DAA)、症状相关其他经验性药物等。
2.8钩状(HOOK)效应
应采用多份高滴度样本进行梯度稀释后由低浓度至高浓度分别检测,每个梯度的稀释液重复3~5次,对钩状效应进行研究。
2.9其他需注意问题
对于使用仪器进行结果判读的产品,应提供产品说明书【适用机型】项中所有型号仪器的性能评估资料。
2.10反应体系
反应体系研究资料包括样本的制备方式(采集和处理)、样本要求、样本用量、试剂用量、反应条件、质控方法、结果判读方式等。
反应条件确定:注册申请人应考虑反应时间、判读时间、反应温度、洗涤液体积和洗涤次数(如涉及)等条件对产品性能的影响,通过实验确定上述条件的最佳组合。
反应体系中样本加样方式及加样量确定:通过实验确定最佳的加样方式及加样量。如样本需采取稀释或其他必要的方法进行处理后方可用于最终检测,注册申请人还应对样本稀释液及其用量、其他必要的处理方法等进行研究。
3.稳定性研究
主要包括实时稳定性(有效期)、开瓶(开封)稳定性、冻融稳定性(如涉及)、机载稳定性(如涉及)、运输稳定性等研究。如果产品配套校准品,还应对校准频率进行研究。可根据实际需要选择合理的稳定性研究方案。稳定性研究资料应包括研究方法的确定依据、具体的实施方案、详细的研究数据以及结论。对于实时稳定性研究,应提供至少三批样品在实际储存条件下保存至成品有效期后的研究资料。
4.阳性判断值研究
提交对申报试剂阴性/阳性结果判断的阳性判断值(cut-off)确定资料,包括具体的试验方案、人群及样本选择、评价标准、统计学分析和研究数据等。建立阳性判断值的样本选择应考虑不同的地理区域、不同的感染阶段和生理状态等因素的影响,纳入阴性、阳性及临界值附近的样本。如检测结果为数值形式,建议采用受试者工作特征曲线(receiver operating characteristic curve,ROC)的分析方式来确定合理的阳性判断值;如试验结果存在灰区(equivocal zone),应提供灰区建立的依据。
如产品适用多个样本类型,应明确不同的样本类型是否存在差异。如有差异,应分别进行阳性判断值的确定。
5.其他资料
5.1主要原材料研究资料
此类产品的主要原材料一般包括抗原、抗体、对照品/质控品/校准品和企业参考品等。应提供主要原材料的选择与来源、制备过程、质量控制标准等相关研究资料。如主要原材料为自制,应提供其详细制备过程;如主要原材料源于外购,应提供资料包括:选择该原材料的依据及对比筛选试验资料、质量标准、出厂检验报告,以及该原材料到货后的质量检验资料,生产商应固定,不得随意更换。
5.1.1抗原
应注重抗原表位的选择,原材料研究资料中应将此方面的考虑进行详述。详细描述抗原的名称,天然/重组表达信息及选择该抗原的依据。提交抗原来源、生产商选择、制备、纯化、鉴定、质量标准(外观、蛋白浓度、纯度、分子量、功能性试验等)及检验等详细试验资料。
5.1.2抗体
详述所有抗体的选择过程,提交抗体生物学来源、免疫原及质量标准(外观、蛋白浓度、纯度、分子量、效价、功能性试验等)等详细试验资料。
5.1.3质控线/对照品/质控品
免疫层析方法学的产品一般应设置质控线,详述质控线相关原材料(例如抗体)的来源、选择依据和质量标准。
对照品/质控品应至少包含阴性和阳性两个水平。阳性对照品/质控品可选择经合理稀释的临床阳性样本或人源化抗体,阴性对照品/质控品可选择临床阴性样本或阴性基质等。提交相关原料的来源、选择和阴阳性确认等相关研究资料。应对对照品/质控品的检测结果做出明确的范围要求。
5.1.4其他主要原材料
除上述主要原材料外,产品中包含的其他主要原材料,如胶体金、辣根过氧化物酶、吖啶酯、硝酸纤维素膜、磁微粒等,均应进行验证,并提交相关资料。明确主要原材料的供应商和质量控制标准。免疫层析方法学的产品如适用于静脉全血,应介绍血细胞去除方式及相关原材料,并验证去除效果。
5.1.5企业参考品
应根据产品的实际情况,科学、合理的设定企业参考品。提交企业参考品的原料来源、选择、制备、阴阳性及浓度/滴度确认方法或试剂等相关验证资料。企业参考品的基质应与待测样本相同。企业参考品的设置应至少包括:阳性参考品、阴性参考品、检测限参考品和重复性参考品。其中阳性参考品重在评估产品的包容性,应选择不同来源(包含常见型别)的临床样本,并设置不同滴度水平。阴性参考品应可评价产品的特异性,应包含可能的干扰和交叉样本。检测限参考品可设置临床阳性样本的系列稀释样本,其中应包含最低检测限水平,并包含常见型别。重复性参考品可设置至少两个水平的临床阳性样本,包括最低检测限附近浓度。
5.2生产工艺研究资料
5.2.1产品基本反应原理介绍。
5.2.2主要生产工艺介绍,可用流程图方式表示,并简要说明主要生产工艺的确定依据。
5.2.3包被/标记工艺研究,应考虑如包被/标记液量、浓度、时间、pH值、标记比率等指标对产品性能的影响,通过实验确定上述指标的最佳组合。
5.2.4显色系统、酶作用底物等的介绍以及最适条件研究。
(四)临床试验
临床试验的开展、方案的制定以及报告的撰写等均应符合相关法规及《体外诊断试剂临床试验技术指导原则》的要求,如相关法规、文件有更新,临床试验应符合更新后的要求。
1.研究方法
临床试验可采用试验用体外诊断试剂与已上市同类产品(对比试剂)进行比较研究,评价两种方法检测结果的一致性,评价指标通常包括阳性符合率、阴性符合率等。对比试剂在预期用途、适用人群、样本类型、检测方法学、检测性能等方面应与试验用体外诊断试剂具有较好的可比性。
2.受试者选择及样本收集
2.1受试者选择
临床试验方案中应根据试验用体外诊断试剂的预期用途、目标人群和检测要求等合理确定临床试验受试者的选择要求和样本收集方法,包括:受试者入组/排除标准、样本收集的前瞻性和回顾性设计等。
根据产品临床验证的目的,入组人群应为疑似丙型肝炎病毒感染的人群,应包括丙型肝炎病毒感染不同疾病进展期的患者,如急性及慢性肝炎、肝硬化、肝癌等。包含不同年龄段、不同性别人群,以及一定数量的获得性免疫缺陷患者和孕妇。
2.2样本类型
丙型肝炎病毒抗体检测试剂适用的样本类型一般包括血清、血浆、静脉全血。如申报产品所适用的样本类型同时包含血清、血浆,且临床前研究证实检测性能没有差异(如血清、血浆),则临床试验中可汇总统计。临床试验中亦可进行两种样本类型的同源比对。
针对静脉全血样本类型,其与血清/血浆样本类型差异较大,建议进行同源比对。
3.临床试验机构数量和要求
应选择不少于3家(含3家)已备案的临床试验机构,按照相关法规、指导原则的要求开展临床试验。申办者应根据产品特点及其预期用途,综合不同地区丙型肝炎病毒流行情况等因素选择具有代表性的机构开展临床试验,包括受试人群的代表性等。
4.临床评价指标
该类产品临床评价指标主要包括试验用体外诊断试剂与已上市同类产品相比的阳性符合率、阴性符合率等。如试验用体外诊断试剂与临床参考方法进行对比研究,其临床评价标准应包括临床灵敏度、临床特异度等。
5.临床试验样本量估算
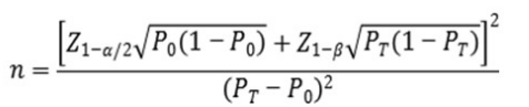
临床试验样本量应满足统计学要求,可采用适当的统计学方法进行估算,同时应满足法规最低样本量的要求。临床试验采用申报产品与已上市同类产品进行比对的试验设计,临床样本量的估算建议采用单组目标值法进行计算,阴阳性符合率的临床可接受标准(P0)建议不低于90%。当评价指标P接近100%时,该样本量估算方法可能不适用,应考虑选择更加适宜的方法进行样本量估算和统计学分析,如精确概率法等。

公式中,n为样本量;Z1-α/2、Z1-β为显著性水平和把握度的标准正态分布的分数位,P0为评价指标的临床可接受标准,PT为试验体外诊断试剂评价指标预期值。
临床试验总体样本量确定时应在上述阴、阳性样本最低样本量估算的基础上,同时考虑其他可能造成受试者脱落的情况以及可能需要纳入的干扰样本、交叉反应样本等情况适当增加入组样本量。
6.统计分析
临床试验统计分析,应与临床试验目的一致,如临床试验目的为验证申报产品与已上市产品的一致性,统计分析一般以2×2表的形式总结两种分析方法的检测结果,并据此计算阳性符合率、阴性符合率、总符合率、Kappa值等指标及其95%置信区间。
7.伦理学要求
临床试验必须符合赫尔辛基宣言的伦理学准则,必须获得临床试验机构伦理委员会的同意。研究者应充分考虑临床试验用样本的获得和试验结果对受试者的风险性,应提交伦理委员会的审查意见。
8.质量控制
临床试验开始前,建议进行临床试验的预试验,以熟悉并掌握相关试验方法的操作、仪器、技术性能等,最大限度控制试验误差。整个试验过程都应处于有效的质量控制下,最大限度保证试验数据的准确性及可重复性。
9.临床试验报告撰写
临床试验报告应该对试验的整体设计及各个关键点给予清晰、完整的阐述,应该对整个临床试验实施过程、结果分析、结论等进行条理分明的描述,并应包括必要的基础数据和统计分析方法,最后得出临床试验结论。临床试验报告的撰写参考《体外诊断试剂临床试验技术指导原则》的相关要求。
(五)产品说明书和标签样稿
产品说明书是体外诊断试剂注册申报最重要的文件之一。产品说明书的格式应符合《体外诊断试剂说明书编写指导原则》的要求,进口体外诊断试剂的中文说明书除格式要求外,其内容应尽量保持与原文说明书的一致性,翻译力求准确且符合中文表达习惯。产品说明书中相关技术内容均应与注册申请人提交的注册申报资料中的相关研究结果保持一致,如某些内容引用自参考文献,则应以规范格式对此内容进行标注,并单独列明文献的相关信息。
结合《体外诊断试剂说明书编写指导原则》的要求,丙型肝炎病毒抗体检测试剂说明书编写应重点关注以下内容。
1.【预期用途】
1.1该产品用于体外定性检测人××(如血清、血浆、静脉全血等)样本中的丙型肝炎病毒抗体。
1.2结合临床和其他实验室指标,用于丙型肝炎病毒感染的辅助诊断。
1.3临床背景描述:简单介绍病原体的生物学特征、流行病学、潜伏期、易感人群、感染后的临床表现及相关疾病等。简要介绍现有的丙型肝炎病毒临床或实验室诊断方法。
2.【样本要求】重点明确以下内容:
2.1样本采集:明确采集时间、采集顺序、采集量等,是否受临床症状、用药情况等因素的影响。说明采集方法及样本类型,对于血浆等样本,应注明对抗凝剂的要求。
2.2干扰物的影响:明确常见干扰物对实验结果是否产生影响,明确可接受的最大干扰物浓度。
2.3样本处理及保存:样本处理方法、保存条件(如冷藏、冷冻等)及不同保存条件下的保存时限和运输条件等。冷藏、冷冻样本检测前是否需要恢复室温,冷冻样本的冻融次数限制等。
3.【检验方法】
详细说明试验操作的各个步骤:
3.1实验环境:实验室的温度、湿度要求,检测试剂及样本的复温要求等。
3.2试剂配制方法,试剂开封后使用方法等。
3.3高浓度样本稀释的方法。
3.4试验条件:操作步骤、温度、时间、仪器波长等。
3.5质量控制:操作步骤,质控结果的要求(试验有效性的判断),质控结果不符合要求的处理方式。
3.6对于免疫层析法检测试剂可以图示形式显示正确的检验操作方法、程序等。特别注意应强调操作温度及湿度条件、读取结果的时间。
3.7特别说明检验操作过程中的注意事项。
4.【阳性判断值】说明阳性判断值,并简要说明阳性判断值确定的试验方法。如阳性判断值需进行计算确定,详细描述具体计算方法。
5.【检验结果的解释】
结合质控线/对照品/质控品以及样本的检测结果,对所有可能出现的结果组合及相应的解释进行详述。对于免疫层析法检测试剂可采用图示形式显示检测结果。检验结果的解释应以阳性判断值的研究结论为依据。如有适用的临床诊疗指南,则应在此项下引用,相应检验结果的解释应符合相关指南的要求。如有灰区判定,详细说明灰区样本的处理方法。
6.【检验方法局限性】
综合产品的预期用途、临床背景、检测方法及适用范围等信息,对可能出现的局限性进行相关说明,建议包括以下内容:
6.1本试剂盒的检测结果不得作为临床诊治的唯一依据,对患者的临床管理应结合其症状/体征、病史、其他实验室检查及治疗反应等情况综合考虑。
6.2不合理的样本采集、转运、处理及不当的实验操作和实验环境均有可能导致假阴性或假阳性结果。
6.3在近几个月内接受过输血或其他血液制品治疗的人群,对其阳性检测结果的分析应慎重。
6.4免疫功能受损人群,其血清学抗体检测的参考价值有限,可能会导致错误的医学解释。
7.【产品性能指标】
包括企业参考品符合率、最低检测限、包容性、精密度、特异性(交叉反应和干扰试验)、钩状(HOOK)效应等。介绍所用样本背景信息、数量、浓度,评价方法及检测结果。
8.【注意事项】
应至少包括以下内容:
8.1有关试剂盒内人源组分(如有)生物安全性的警告。
8.2有关实验操作、样本保存及处理等其他注意事项。



















18576401396 





