MTHFR基因多态性检测试剂注册审查指导原则
本指导原则旨在指导注册申请人对MTHFR基因多态性检测试剂注册申报资料的准备及撰写,同时也为技术审评部门对注册申报资料的技术审评提供参考。
本指导原则是对MTHFR基因多态性检测试剂的一般要求,申请人应依据产品的具体特性确定其中内容是否适用,若不适用,需具体阐述理由及相应的科学依据,并依据产品的具体特性对注册申报资料的内容进行充实和细化。
本指导原则是供注册申请人和技术审评人员使用的指导性文件,但不包括注册审批所涉及的行政事项,也不作为法规强制执行,如有能够满足相关法规要求的其他方法,也可以采用,但需要提供详细的研究资料和验证资料,相关人员应在遵循相关法规的前提下使用本指导原则。
本指导原则是在现行法规和标准体系以及当前认知水平下制定的,随着法规和标准的不断完善,以及科学技术的不断发展,本指导原则的相关内容也将适时进行调整。
一、适用范围
本指导原则适用于采用荧光探针PCR法,对预期或正在服用叶酸的高同型半胱氨酸血症患者的静脉全血或口腔拭子等样本DNA中的MTHFR基因多态性进行体外定性检测的试剂,用于叶酸的用药指导。
对于采用其他分子生物学检测方法或其他样本类型的MTHFR基因多态性检测试剂,可能部分要求不完全适用或本文所述内容不够全面,申请人可参照本指导原则,根据产品特性对适用部分进行评价,并补充其他的评价资料。
亚甲基四氢叶酸还原酶(methylene tetrahydrofolate reductase,MTHFR)基因位于1号染色体lp36.3位置,基因全长19.3kb,含有11个外显子和10个内含子。MTHFR基因编码的MTHFR酶是机体叶酸-甲硫氨酸代谢过程中的关键酶,催化5,10-亚甲基四氢叶酸还原为5-甲基四氢叶酸,而5-甲基四氢叶酸是同型半胱氨酸(Homocysteine,Hcy)体内代谢的重要底物。
MTHFR基因有多个单核苷酸多态性突变位点,MTHFR基因多态性可导致MTHFR酶活性改变,使机体活性叶酸水平降低及Hcy水平升高,从而导致心脑血管疾病及不良妊娠等相关疾病的发生,例如C677T(rs1801133)位点。MTHFR基因C677T(rs1801133)突变导致MTHFR酶活性及稳定性下降,与野生型(CC)相比杂合突变型(CT)使MTHFR酶活性下降30%,纯合突变型(TT)使MTHFR酶活性下降65%~70%。
中国高血压患者存在高Hcy、低叶酸现象,MTHFR基因 C677T(rs1801133)位点TT基因型可以进一步增加H型高血压脑卒中发病风险,MTHFR基因检测可为临床H型高血压的危险分层提供参考。
对MTHFR基因C677T(rs1801133)位点进行基因多态性检测,有助于制定合理的叶酸补充方案。
本指导原则适用于MTHFR基因多态性检测试剂注册申请和变更注册申请的情形。本指导原则仅针对MTHFR基因多态性检测试剂注册申报资料中的部分内容进行撰写,其他未尽事宜应当符合《关于公布体外诊断试剂注册申报资料要求和批准证明文件格式的公告》等相关法规要求。
二、注册审查要点
(一)监管信息
- 产品名称及分类编码
产品名称应符合《体外诊断试剂注册与备案管理办法》及相关法规的要求,如MTHFR基因多态性检测试剂盒(荧光PCR法)。根据《体外诊断试剂分类目录》,该产品按照第三类体外诊断试剂管理,分类编码为6840。
- 其他信息还包括产品列表、关联文件、申报前与监管机构的联系情况和沟通记录以及符合性声明等文件。
(二)综述资料
综述资料主要包括概述、产品描述、预期用途、申报产品上市历史及其他需说明的内容。其中,同类产品上市情况介绍部分应着重从技术原理、预期用途、被测靶标(基因多态性位点)、性能指标、临床应用情况等方面详细说明申报产品与目前市场上已获批准的同类产品之间的主要区别。此外,还应说明被测靶标纯合突变型和杂合突变型在中国人群的发生频率。
若被测靶标为新的多态性位点,申请人还应提交支持资料,以证明:1.携带新位点等位基因所编码的MTHFR酶的活性和稳定性变化情况;2.携带新位点等位基因的患者,其叶酸—甲硫氨酸代谢过程的预期变化; 3.提交充分的临床证据证明新位点的临床意义。
(三)非临床资料
- 产品技术要求及检验报告
注册申请人应当在原材料质量和生产工艺稳定的前提下,根据产品研制、前期评价结果等,依据国家标准、行业标准及有关文献资料,结合产品特性按照《医疗器械产品技术要求编写指导原则》的要求编写。该类产品作为第三类体外诊断试剂,应当以附录形式明确主要原材料及生产工艺要求。
第三类体外诊断试剂应当提供三个不同生产批次产品的检验报告。如有适用的国家参考品发布,技术要求中需体现国家参考品的相关要求。可提交申请人出具的自检报告或委托有资质的医疗器械检验机构出具的检验报告。
如有适用的国家标准、行业标准,产品技术要求的相关要求应不低于相应的要求。
- 分析性能研究
注册申请人应采用在符合质量管理体系的环境下生产的试剂盒进行所有分析性能研究,并提交详细的性能评估资料,包括试验方案、试验数据、统计分析结果及结论等详细资料。有关分析性能研究的背景信息也应在资料中有所体现,包括实验地点、适用仪器、试剂规格、批号等。分析性能评估的试验方法可参考国际或国内有关体外诊断试剂性能评估指导原则进行,每项性能评估应采用与适用样本类型一致的临床样本。对于本类产品建议着重从以下分析性能进行研究。
2.1样本稳定性
样本稳定性研究主要包括核酸提取纯化前样本的稳定性和提取纯化后核酸的稳定性两方面。在包含最不利条件情形的储存条件下储存,每间隔一定的时间段即对储存样本进行分析验证。适于冷冻保存的样本还应对冻融次数进行评价。如声称多种适用样本类型,注册申请人应针对不同样本类型分别进行样本稳定性研究。
样本稳定性研究应涵盖检测位点的野生型、杂合突变型和纯合突变型样本。
2.2适用的样本类型
列明产品适用的样本类型。应采用合理方法对每种样本类型进行适用性研究确认,对于全血样本还需考察不同抗凝剂的适用性。对于不可比样本应分别提交相应的分析性能研究资料。
2.3准确度
采用申报试剂与测序结果或已上市产品,使用临床样本采用方法学比对的方法进行申报试剂的准确度评价。
样本应涵盖野生型和所有多态性位点的杂合突变型、纯合突变型。
2.4企业参考品验证
根据主要原材料研究资料中的企业参考品设置情况,采用三批产品对企业参考品进行检验并提供详细的试验数据。
2.5精密度
精密度评价应采用临床样本进行试验,试验操作完全按照说明书执行,包含核酸提取/纯化等样本处理步骤。样本应至少涵盖所有多态性位点的杂合突变型。
精密度评价需满足如下要求:
2.5.1对可能影响检测精密度的主要因素进行验证,除检测试剂(包括核酸提取/纯化组分)本身外,还应考虑仪器、操作者、地点、时间、运行、试剂批次等因素。
2.5.2设定合理的精密度评价周期,对批内/批间、日内/日间实验室间以及操作者之间的精密度进行综合评价。
2.5.3用于精密度评价的临床样本建议至少包含检出限附近水平和中/高浓度水平,检测结果应与预期结果一致。
2.5.4申请人应结合产品特点,对精密度指标评价标准做出合理要求,如CV值。
2.6检出限
2.6.1检出限的确定
MTHFR基因多态性检测试剂的检出限可定义为:在满足一定的检测准确性和精密度的条件下,能够检出目标基因的最低人基因组DNA浓度。检出限评价建议采用临床样本,并至少包含所有多态性位点的杂合突变型。
可采用梯度浓度的人基因组DNA样本进行多次重复检测,将95%检出率(n≥20)水平下的最低人基因组DNA浓度,确定为检出限。系列稀释度应能够覆盖大部分检出概率区间(0~100%),可根据各浓度梯度检测结果直接判定,也可通过概率计算或其他适当方法进行测算。
2.6.2检出限的验证
另外选择不同来源的至少3个临床样本在检出限浓度水平进行验证,进行至少20次检测,应达到95%检出率要求。
检出限验证的样本型别应覆盖所有多态性位点的不同基因型别。
同时,申请人亦应评价申报产品可准确检出的人基因组DNA浓度上限,即适当检出率水平下的最高人基因组DNA浓度。
应提供详细的样本型别和浓度的确定方法。
2.7分析特异性
2.7.1交叉反应
应针对靶基因序列相近或同源性序列(例如MTHFR的其他位点突变序列)进行交叉反应验证,同时申请人还应验证检测范围内各突变位点间的交叉干扰(如适用)。说明交叉反应样本的制备方法、核酸序列确认方法,提交详细的验证资料。
2.7.2干扰物质
应针对可能的内源和外源性干扰物进行干扰试验研究。干扰物的选择与所用样本类型有关,例如:对于全血样本,内源干扰物主要涉及血脂、胆红素、血红蛋白和白蛋白等,外源干扰物主要包括血液样本采集可能用到的抗凝剂和常用药物(如降压药、调脂药、降糖药、解热镇痛药等);对于口腔拭子样本,干扰物需考虑全血、口腔定植菌以及口腔可能接触到的抗菌漱口液、牙膏、食物、药物(如:硝酸甘油、口腔喷雾剂)、烟草等。
干扰试验可通过在临床样本中人工添加干扰物质的方式,评价干扰物质对目标基因检测的影响,也可直接采集暴露于干扰因素后的受试者样本,进行干扰试验评价。建议申请人在每种干扰物质的潜在最大浓度(“最差条件”)条件下进行评价;如有干扰,应确定不产生干扰的最高浓度。
2.8核酸提取/纯化性能
在进行核酸检测之前,建议有核酸提取/纯化步骤。无论检测试剂是否含有核酸提取/纯化的组分,企业都应结合检测试剂的特性,对配合使用的所有核酸提取试剂进行提取核酸纯度、浓度、提取效率的研究,并评价该方法能否满足MTHFR基因多态性检测试剂的要求,提供详细的评价资料。
若产品适用两种或以上核酸提取试剂,则每一种核酸提取试剂均需配合检测试剂进行精密度、检出限和抗干扰的验证。
2.9反应体系
2.9.1样本采集和处理
请详述样本的采集和处理方式,明确样本的保存介质。
对于口腔拭子样本,还应提供采样拭子及样本保存介质(如:样本保存液)的选择研究,明确对拭子头和拭子杆的材质要求、保存液或裂解液的成分、浓度和使用量的要求等。配套的不同保存液或裂解液需验证检出限和重复性。
2.9.2反应体系确定
依据产品特性,提供最佳反应体系确定的研究资料,包括核酸提取用的样本体积、洗脱体积和PCR加样体积、各试剂组分加样量及反应各阶段温度、时间、循环数等。
如有多个适用机型,需提交不同适用机型基线和阈值确定的研究资料。不同适用机型的反应条件如果有差异应分别详述,并提交验证资料。
- 稳定性研究
申报试剂的稳定性主要包括实时稳定性、开瓶稳定性、运输稳定性、机载稳定性(如适用)及冻融次数限制等,申请人可根据实际需要选择合理的稳定性研究方案。稳定性研究资料应包括具体的实施方案、详细的研究数据以及结论。对于实时稳定性研究,应提供至少三批样品在实际储存条件下保存至成品有效期后的研究资料。
- 阳性判断值研究
对于此类试剂,阳性判断值即为能够获得理想的检测准确性的临界值(Cut-off)。建议纳入一定数量的临床样本,涵盖野生型和所有多态性位点的杂合突变型和纯合突变型,采用受试者工作特征(ROC)曲线的方式进行研究。亦可采用其他科学合理的方法进行阳性判断值研究。相关资料中应详述试验方案、样本来源、样本量、样本入组标准及试验结果等。如试剂判读存在灰区,应解释说明灰区范围的确定方法。如采用其他方法对阳性判断值进行确认研究,应说明这种方法的合理性。
如果产品适用不同样本类型,需要对各样本类型分别进行阳性判断值研究。
对于某些检测方法学,阳性判断值研究可能不适用,申请人应说明理由。
- 其他资料
5.1主要原材料研究资料
该类产品的主要原材料一般包括人基因组核酸提取/纯化试剂、检测所需引物、探针、酶、dNTP、反应缓冲液等。应提供主要原材料的选择与来源、制备过程、质量控制标准等相关研究资料。如主要原材料为企业自制,应提供其详细制备过程;如主要原材料源于外购,应提供资料包括:选择该原材料的依据及对比筛选试验资料、生产商提供的质量标准、出厂检验报告,以及该原材料到货后的质量检验资料。
5.1.1引物和探针:应详述引物和探针的设计原则,提供引物、探针核酸序列、模板核酸序列及两者的对应情况。建议设计两套或多套引物、探针以供筛选,针对待测位点的特异性等进行评价,选择最佳引物探针组合,并提交详细的筛选研究数据。
申请人应针对选定的引物、探针原材料进行质量评价,一般包括:分子量、纯度(HPLC等)、浓度、序列准确度、探针荧光标记基团,以及功能性试验等,并依据评价结果建立合理的质量标准。
5.1.2脱氧三磷酸核苷(dNTP):包括dATP、dGTP、dCTP、dTTP或dUTP,应提交对其纯度、浓度等的验证资料,以及功能性试验资料,并确定质量标准。
5.1.3酶:涉及的酶主要包括DNA聚合酶和尿嘧啶DNA糖基化酶(UDG/UNG)等。申请人应针对各种酶的活性进行验证,提交功能性试验资料,并确定酶的质量标准。
DNA聚合酶应具有DNA聚合酶活性,无核酸内切酶活性,具热稳定性。UDG/UNG应具有水解尿嘧啶糖苷键的活性,无核酸外切酶及核酸内切酶活性。
5.1.4质控品
MTHFR基因多态性检测试剂的质控品可分别设置野生型、杂合突变型及纯合突变型,同时设置不含待测靶序列的空白质控品用于交叉污染的质控;亦可直接采用待测位点的杂合突变型样品及空白质控品进行质量控制。
对于此类产品,一般情况下,反应体系中野生型序列和突变型序列均有阳性反应,可以对管内抑制导致的假阴性结果进行质量控制,则试剂盒中可不另外设置内标对照;否则,应另外设置内标对照。
质控体系应能够对检测全过程进行有效的质量控制,包括试剂及仪器性能、可能的扩增反应抑制物(管内抑制)、交叉污染等因素造成的假阴性或假阳性结果。质控品可采用质粒、细胞系或临床样本的核酸提取液等。空白质控品应参与样本核酸的平行提取。申请人应针对质控品原料选择、制备、定值过程等提供详细的研究数据,并对质控品的检测结果做出明确的范围要求。
5.1.6企业参考品
企业参考品一般包括准确性参考品、特异性参考品、检出限参考品和精密度参考品等。申请人应提交有关企业参考品原料选择、制备方法、基因型别确认及检验标准的研究资料等。
准确性参考品:可采用临床样本,样本类型与待测样本一致。应包含野生型和所有多态性位点的杂合突变型样本、纯合突变型样本。
特异性参考品:应考虑检测特异性的评价,建议包括同源序列交叉反应样本、干扰样本等。特异性参考品可采用细胞系进行制备;
检出限参考品:可选择检出限浓度(例如:95%检出率水平)或接近检出限浓度(例如100%检出率水平)的临床样本,应至少包含所有多态性位点的杂合突变型样本。
精密度参考品:建议包括高、低两个浓度的样本,其中一个浓度应为检出限附近的浓度。至少包括所有多态性位点的杂合突变型临床样本。
如MTHFR基因多态性检测试剂已有国家参考品,企业参考品的要求应不低于国家参考品要求。
5.2生产工艺研究资料
生产工艺研究资料包括工作液配制(引物、探针浓度、酶浓度、dNTP浓度、缓冲液离子浓度等)、分装和冻干(如有)、荧光标记等工艺过程的描述及确定依据。生产过程应对关键参数进行有效控制,可采用流程图方式描述生产工艺,标明关键工艺质控步骤,并详细说明该步骤的质控方法及质控标准。
(四)临床评价资料
临床试验的开展、方案的制定以及报告的撰写等均应符合相关法规及《体外诊断试剂临床试验技术指导原则》(国家药品监督管理局通告2021年第72号)的要求,如相关法规、文件有更新,临床试验应符合更新后的要求。
1.临床试验机构
应选择不少于3家(含3家)已备案的临床试验机构,按照相关法规、指导原则的要求开展临床试验。申请人应根据产品特点及预期用途,综合不同地区人种和流行病学背景等因素选择临床试验机构。临床试验机构应具有分子生物学方法检测的优势,操作人员应熟悉临床试验方案及检测系统的各环节。
2.临床试验方法
2.1对于有已上市同类产品(突变位点为C677T,rs1801133)的产品,建议申请人选择境内已批准上市的同类产品作为对比试剂,采用试验体外诊断试剂与之进行对比试验研究,评价申报产品的临床性能。对比试剂的选择应从预期用途、样本要求、检测性能等方面,确认其与申报产品具有较好的可比性。
2.2如申报新的突变位点用于叶酸用药指导,应根据其公认的临床意义,提供其适用人群相应的临床意义的证据及性能验证临床试验。性能验证临床试验中可以选择公认的参考方法(如Sanger测序法)作为对比方法,评价其突变位点的检测性能。临床意义的证据应包括新的突变位点基因型与血液同型半胱氨酸含量、红细胞中叶酸含量,服用叶酸剂量与相应结局的相关性研究证据。
针对Sanger测序和相关性研究分析方法(如涉及)的建立、验证和质量控制,应提交详细的研究论述,相关内容纳入临床试验报告中。
3.受试者选择和样本类型
3.1受试者选择
临床试验中应选择高同型半胱氨酸血症患者作为适用人群。如需要服用或正在服用叶酸的H型高血压等心脑血管疾病患者等。
如涉及新的位点及临床使用场景,应根据相应的适用人群纳入受试者。
3.2 样本类型
适用的样本类型一般为静脉抗凝全血,应采用相同样本类型的已上市同类产品进行比较研究。
如产品同时适用于口腔拭子,可与相同样本类型或静脉全血的已上市同类产品进行比较研究;也可采用与申报产品的静脉全血进行同源比对的方式进行评价,纯合突变型/杂合突变型/野生型样本例数建议均不少于100例。
临床试验中应以临床原始样本进行试验,不应直接采用提取的基因组DNA。临床样本的采集、处理、保存和提取等应同时满足申报产品说明书以及对比试剂说明书(如适用)的相关要求。
4.临床试验样本量
临床试验样本量应满足统计学要求,可采用适当的统计学方法进行估算,同时应满足法规最低样本量的要求。根据相应临床试验设计,本临床试验可依据申报产品相对于对比试剂的纯合突变型/杂合突变型/野生型符合率分别估算相应的最低样本例数。
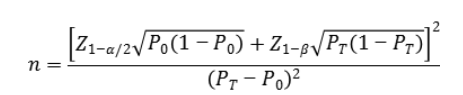
与对比试剂的比较研究中,临床样本量的估算建议采用单组目标值法进行计算,纯合突变型/杂合突变型/野生型符合率的临床可接受标准(P0)建议均不低于95%。当评价指标PT接近100%时,该样本量估算方法可能不适用,应考虑选择更加适宜的方法进行样本量估算和统计学分析,如精确概率法等。

公式中,n为样本量;Z1-α/2、Z1-β为显著性水平和把握度的标准正态分布的分数位,P0为评价指标的临床可接受标准,PT为申报产品评价指标预期值。
临床试验总体样本量确定时应在上述各型别样本最低样本量估算的基础上,同时考虑其他可能造成受试者脱落的情况适当增加入组样本量。
5.统计学分析
依据年龄、性别和临床诊断背景信息等,对纳入统计的病例进行人口学分析。
总结野生型、杂合突变型和纯合突变型的例数,以3×3表分别总结两种试剂的定性检测结果,并分别计算各基因型的符合率、总体符合率及其95%置信区间,对定性结果进行kappa检验,以评价两种试剂检测结果的一致性;以交叉四格表分别总结两种试剂对野生型及突变型(包括杂合突变型和纯合突变型)的定性检测结果,计算符合率、总符合率及其95%置信区间,并对定性结果进行kappa检验,以验证两种试剂检测结果的一致性。
对于两种试剂检测结果不一致的样本,应采用合理方法进行复核,并对差异原因进行分析。
6.伦理学要求
临床试验必须符合赫尔辛基宣言的伦理学准则。研究者应考虑临床试验用样本的获得和试验结果对受试者的风险,提请伦理委员会审查,并获得伦理委员会的同意。注册申报时应提交伦理委员会的审查意见。
7.临床试验方案
各临床试验机构的方案设置应基本一致,且保证在整个临床试验过程中遵循预定的方案,不可随意改动。整个试验过程应在临床试验机构的实验室内并由本实验室的技术人员操作完成,申报单位的技术人员除进行必要的技术指导外,不得随意干涉实验进程。
试验方案应确定严格的入选/排除标准,任何已入选的样本被排除出临床试验都应记录在案并明确说明原因。在试验操作过程和结果判定时应采用盲法以保证试验结果的客观性。
8.质量控制
临床试验开始前,建议进行临床试验的预试验,以熟悉并掌握相关试验方法的操作、仪器、技术性能等,最大限度控制试验误差。整个试验过程都应处于有效的质量控制下,最大限度保证试验数据的准确性及精密度。
9.临床试验小结与报告
临床试验的小结与报告应该对试验的整体设计及各个关键点给予清晰、完整的阐述,应该对整个临床试验实施过程、结果分析、结论等进行条理分明的描述,并应包括必要的基础数据和统计分析方法,最后得出临床试验结论。临床试验报告的撰写参考《体外诊断试剂临床试验技术指导原则》的相关要求。
(五)产品说明书和标签样稿
产品说明书格式应满足《体外诊断试剂说明书编写指导原则》的要求。产品说明书中技术内容应与注册申报资料中的相关研究结果保持一致,如某些内容引用自参考文献,应以规范格式进行标注,并单独列明文献的相关信息。人MTHFR基因多态性检测试剂说明书编写应重点关注以下内容。
1.【预期用途】 应至少包括以下几部分内容:
1.1本产品用于体外定性检测人体XX样本中的MTHFR基因XX位点的多态性。
1.2介绍被测靶标(基因多态性位点),说明基因位点与临床适用症的关系,明确野生型、杂合突变型和纯合突变型的临床发生频率,明确可进行叶酸用药指导的适用人群。
1.3明确本产品检测结果仅供临床参考,不应作为患者是否用药的唯一依据,临床医生应结合患者病情、疗效及其他实验室检测指标等对本产品的检测结果进行综合判断。
2.【检验原理】
对试剂盒的被测靶标进行详细描述(基因位置、多态性位点及相关特征等),对试剂盒所用探针、引物、多态性的判定终点等进行详细的介绍;对不同样本反应管组合、质控品设置及荧光信号检测原理等进行介绍。
试剂盒技术原理的详细介绍,建议结合适当图示进行说明。如反应体系中添加了相关的防污染组分(如UNG酶),也应对其作用机理进行适当介绍。
3.【主要组成成分】
明确试剂盒中各组分及具体成分。明确需要但未提供的材料,例如核酸提取试剂等的产品名称,生产厂家,货号及注册证号、备案号等信息。
4.【储存条件及有效期】
说明试剂盒的效期稳定性等,明确具体的储存条件及有效期等信息。
5.【样本要求】
应明确样本采集、处理、保存等各环节要求,说明样本保存条件及期限等。冷藏/冷冻样本检测前是否需要恢复至室温,冻融次数的限制等。
6.【适用仪器】
注明所有适用的仪器型号,并提供与仪器有关的重要信息以指导用户操作。
7.【检验方法】
详细说明实验操作的各个步骤,包括:
7.1实验条件:实验室分区、实验环境的温度、湿度和空调气流方向控制等注意事项。
7.2试剂配制方法和注意事项。
7.3简述核酸提取纯化的条件、步骤及注意事项(如适用),对核酸提取纯化环节进行合理的质量控制。
7.4扩增反应前准备:加样体积、顺序等。
7.5 PCR各阶段的温度、时间设置、循环数设置或相应的自动化检测程序及相关注意事项。
7.6仪器设置(如适用):特殊参数、探针的荧光素标记情况、对待测多态性及其他质控品的荧光通道选择等。
8.【检验结果的解释】
结合质控品、样本管检测结果以及多态性类型与叶酸代谢表型之间的关系,以列表形式详述所有可能出现的结果及相应的解释。如存在检测灰区,应详述对于灰区结果的处理方式。
9.【检验方法局限性】
9.1申报产品仅对MTHFR 基因XX位点基因多态性进行了验证。
9.2有关假阴性结果的可能性分析
9.2.1不合理的样本采集、运送及处理或核酸过度降解均有可能导致检测失败。
9.2.2未经验证的其他干扰或PCR抑制因子等可能会导致假阴性结果(如有)。
- 【产品性能指标】
详述以下性能指标:
10.1国家参考品和企业参考品的符合情况。
10.2检出限:简单介绍检出限的确定方法,并明确检出限结果。
10.3精密度:简单介绍精密度的确定方法,并明确精密度结果。
10.4分析特异性
10.4.1交叉反应验证:同源性序列等交叉反应验证。
10.4.2干扰物质验证:样本中常见干扰物质对检测结果的影响。
10.5临床试验:介绍试验方法、受试者及样本、试验结果和结论等。
11.【注意事项】
11.1如产品含有人源或动物源性物质,应给出具有潜在感染性的警告。
11.2 试剂保存运输及使用过程中多种因素可能导致性能变化,如保存运输不当、样本采集、样本处理及检测过程操作不规范等,请严格按照说明书操作。
11.3临床实验室应严格按照《医疗机构临床基因扩增实验室管理办法》等有关分子生物学实验室、临床基因扩增实验室的管理规范执行。



















18576401396 





